- 聯系我們
- 內 貿 部:0632-5228899 18806325904
外 貿 部:0632-3671188 17763266218
采 購 部:0632-7663999 18663267979
人力資源:0632-7683555
郵箱:kr@krwater.com
官 網:http://www.jinyunma.com
地址:山東省棗莊市薛城區薛城化工產業園府前路路南1號
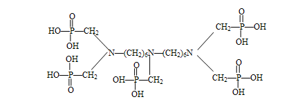
Bis(HexaMethylene Triamine Penta (Methylene Phosphonic Acid)) BHMTPMPA
- CAS No. 34690-00-1
- 分子式 C17H44O15N3P5 相對分子質量:685
- 結構式

- 一、性能與用途:
-
BHMTPMPA(雙1,6-亞己基三胺五甲叉膦酸)是高效的螯合型阻垢劑,對碳酸鹽垢和硫酸鹽垢具有良好的阻垢效果。 本產品在較寬的PH范圍和120℃高溫下有極佳的水溶性和熱穩定性,對鈣離子容忍度高。BHMTPMPA(雙1,6-亞己基三胺五甲叉膦酸)用作油田水處理的緩蝕阻垢劑,工業循環冷卻水和鍋爐水的阻垢緩蝕劑。
- 二、技術指標 符合GB/T 22591-2008
項 目 |
指 標 |
外 觀 |
深琥珀色液體 |
活性組分% |
45.0-50.0 |
亞磷酸(以PO33-計) % ≤ |
3.5 |
氯化物 (以Cl-計)% ≤ |
6.0 |
Fe(以Fe2+計)含量mg/L ≤ |
35 |
密度(20℃)g/cm3
≥ |
1.2 |
pH(1%水溶液) ≤ |
2.0 |
- 三、使用方法
- 二己烯三胺五亞甲基膦酸 BHMTPMPA可單獨使用或與聚羧酸型阻垢分散劑配合使用。
- 四、包裝與貯存
- 二己烯三胺五亞甲基膦酸 BHMTPMPA用塑料桶包裝,每桶25kg或根據用戶需要確定。BHMTPMPA貯于室內陰涼處,貯存期為十二個月。
- 五、安全防護
- 二己烯三胺五亞甲基膦酸 BHMTPMPA為酸性,操作時注意勞動保護,應避免與皮膚、眼睛等接觸,接觸后用大量清水沖洗。
主站蜘蛛池模板:
大方县|
施甸县|
西乌|
金门县|
喀什市|
宜兰县|
博湖县|
廉江市|
新邵县|
乡宁县|
祁阳县|
双峰县|
安仁县|
灵璧县|
中阳县|
徐州市|
东阳市|
芮城县|
英山县|
阿坝|
凤城市|
江永县|
监利县|
棋牌|
新蔡县|
两当县|
白玉县|
嘉峪关市|
六枝特区|
武威市|
白沙|
扎兰屯市|
焉耆|
临洮县|
贡嘎县|
思南县|
奉节县|
巨野县|
镇赉县|
留坝县|
嘉祥县|