- 聯系我們
- 內 貿 部:0632-5228899 18806325904
外 貿 部:0632-3671188 17763266218
采 購 部:0632-7663999 18663267979
人力資源:0632-7683555
郵箱:kr@krwater.com
官 網:http://www.jinyunma.com
地址:山東省棗莊市薛城區薛城化工產業園府前路路南1號
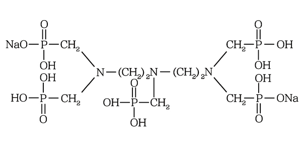
Sodium salt of Diethylene Triamine Penta (Methylene Phosphonic Acid) (DTPMP·Na2)
- CAS No. 22042-96-2
- 分子式 C9H26O15N3P5Na2
- 結構式
-

- 一、性能與用途:
-
DTPMP?Na2由DTPMP的不同形式鈉鹽組成,可用作阻垢劑、高效螯合劑、優良的BaSO4阻垢劑,廣泛用于冷卻水處理、過氧化物漂白的穩定劑、洗滌助劑、市政工業清潔用水、地熱水處理、油田阻垢。
- 二、技術指標 HG/T4330-2012
項 目 |
指 標 |
外 觀 |
紅棕色液體 |
活性組分(以DTPMPA計) % |
45.0-49.0 |
氯化物 (以Cl-計) % |
≤5.0 |
Fe(以Fe2+計)含量mg/L |
≤20.0 |
密度(20℃)g/cm3
|
≥1.35 |
pH值(1%水溶液) |
2.0-3.0 |
- 三、包裝與貯存
-
DTPMP?Na2用塑料桶包裝,每桶25kg或250kg,或根據用戶需求確定。貯于室內陰涼處,貯存期十個月。
- 四、安全防護
-
DTPMP?Na2為弱酸性,操作時注意勞動保護,應避免與皮膚、眼睛等接觸,接觸后用大量清水沖洗。
主站蜘蛛池模板:
华安县|
济宁市|
晋江市|
武胜县|
仁怀市|
图木舒克市|
安庆市|
万州区|
阿坝县|
镇坪县|
渭南市|
云南省|
新兴县|
进贤县|
玉山县|
阜新市|
靖江市|
斗六市|
普格县|
邹城市|
原平市|
太白县|
郓城县|
韩城市|
运城市|
东阿县|
咸阳市|
江达县|
仁化县|
河北区|
禹州市|
邛崃市|
密云县|
云和县|
津市市|
澄城县|
牟定县|
陕西省|
山丹县|
泾阳县|
沁阳市|