- 聯系我們
- 內 貿 部:0632-5228899 18806325904
外 貿 部:0632-3671188 17763266218
采 購 部:0632-7663999 18663267979
人力資源:0632-7683555
郵箱:kr@krwater.com
官 網:http://www.jinyunma.com
地址:山東省棗莊市薛城區薛城化工產業園府前路路南1號
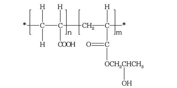
Acrylic Acid-2-Hydroxypropyl Acrylate Copolymer (T-225)
- 別名: AA/HPA共聚物
- CAS No. 55719-33-0
- 結構式

- 一、性能與用途:
- T-225為丙烯酸和丙烯酸羥丙酯共聚物,它對碳酸鈣、硫酸鈣特別是磷酸鈣垢的形成和沉積有良好的抑制作用,對三氧化二鐵、污泥、粘土和油垢也有良好的分散性能;能在高pH的條件下使用;與有機膦酸鹽、BTA等混溶性好,對抑制鋅鹽沉積和磷酸鈣垢的析出有特效。
- T-225在較高溫度和堿性條件下有良好阻垢分散作用,適用于堿性條件下和有較多磷酸鹽存在的循環冷卻水中使用。T-225主要用作各種循環冷卻水(特別是高濁度、使用環境有粉塵污染的循環冷卻水)、阻垢分散劑。
- 二、技術指標
項 目 |
指標 |
中性 |
酸性 |
---- |
符合HG/T2429-2014 |
外 觀 |
無色至黃色液體 |
固體含量 % ≥ |
30.0 |
30.0 |
游離單體(以 AA 計)% ≤ |
0.5 |
0.5 |
密度(20℃)g/cm3 |
≥1.10 |
pH |
6.5-8.5(原液) |
2.0-3.0(1%水溶液) |
極限粘數 (30℃) dl/g |
0.065~0.095 |
- 三、使用方法
- T-225正常使用量10-30mg/L,可與有機膦等復配成全有機(堿性)配方。
- 四、包裝與貯存
- T-225為塑料桶包裝,每桶25kg、200kg或根據用戶需求確定。貯于室內陰涼通風處,貯存期為十二個月。
- 五、安全防護
- T-225具有輕微腐蝕性,操作時注意勞動保護,應避免與皮膚、眼睛等接觸,接觸后用大量清水沖洗。
主站蜘蛛池模板:
庆阳市|
吉隆县|
固原市|
壶关县|
阜宁县|
繁峙县|
牡丹江市|
聂荣县|
龙口市|
德格县|
昔阳县|
铜山县|
宜黄县|
泾阳县|
察雅县|
玉门市|
乌海市|
德清县|
建始县|
长宁县|
敖汉旗|
庆阳市|
舒兰市|
红河县|
旌德县|
同仁县|
布拖县|
乐平市|
锡林浩特市|
定西市|
华亭县|
兴义市|
武隆县|
大名县|
周宁县|
巴彦淖尔市|
英德市|
长垣县|
广水市|
吴旗县|
富锦市|